自动化学院喜提5项教育部首批供需对接就业育人项目
发布日期:2022-04-12
高校毕业生是宝贵的人才资源,用人单位是毕业生就业成长的重要平台。为帮助用人单位培养和招聘更多实用型、复合型和紧缺型人才,推动培养就业有机联动、人才供需有效对接,促进高校毕业生更加充分更高质量就业。2021年8月30日,教育部高校学生司发布关于征集2021供需对接就业育人项目的函,通过用人单位申报、专家审核、立项单位信息核查等环节,于2022年4月2日确定了第一期供需对接就业育人项目名单。

教育部供需对接就业育人项目立项公示通知
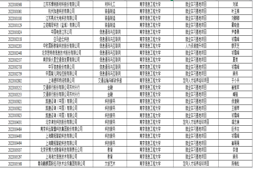
我校最终确定立项24项,立项数量在江苏省高校中排名第2,仅次于东南大学,全国排名位列前30。其中,我院霍晓音副书记的立铠精密科技(盐城)有限公司就业实习基地项目、侯健敏副院长的凯捷咨询(中国)有限公司就业实习基地项目和夏旻老师的南京烽火星空通信发展有限公司就业实习基地项目等5项就业育人项目获批立项。

我校获得24个项目立项
就业是民生之本,民生大计。当前,高校毕业生就业形势严峻,我院一直以来高度重视毕业生就业质量,持续做好就业全过程动态服务工作,积极开展就业合作交流,灵活应对就业新形势,大力拓展企业家“朋友圈”,用心搭建就业服务平台,竭力为学院毕业生提供精准、高效、暖心的服务,多措并举构建人人关注就业、全员助力就业的良好局面,为毕业生更加充分更高质量就业保驾护航。

指间自动化