我院葛泉波团队最新研究成果在IEEE Transactions on Automatic Control期刊发表
发布日期:2024-04-22
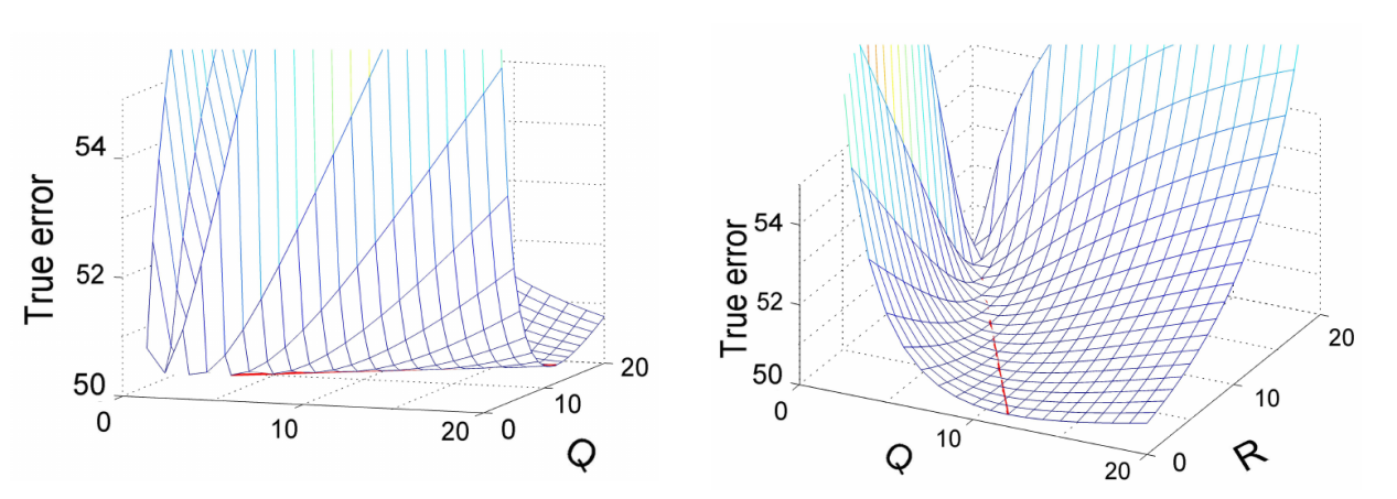
自动化学院葛泉波团队的研究工作《Adaptive Kalman Filtering Based on Model Parameter Ratios》近期在IEEE Transactions on Automatic Control(IEEE TAC)期刊上发表。IEEE TAC是国际控制领域两大最权威的期刊之一(另外一本是Automatica),享有非常高的学术声誉。该研究工作主要针对现有Kalman滤波难以有效应对存在不匹配噪声系统的状态估计问题,提出一种新的基于模型参数比(MPR)的自适应Kalman滤波算法,主要创新性工作如下:(1)首次提出了模型参数比(MPR)理论,成功地将自适应滤波问题转化为一个有约束的优化问题。(2)通过定义MPR概念,并采用问题转换的方法和近似规则,解决了真实均方误差无法直接计算的难题。(3)研究不仅提出了模型参数比的存在性,并且证明了其有效性。(4)与传统的Kalman理论一个最优估计只对应一组参数不同,MPR理论则证明了一个最优估计可以对应多个满足约束的参数集,从而提供了更灵活的解决方案。上述理论提出的自适应滤波算法能够更准确地估计过程噪声协方差和观测噪声协方差矩阵,并且在滤波精度和状态估计性能上获得显著提升。此外,该算法在抗发散性和对初始条件的敏感性方面也表现的更为优越。(研究思路流程见图1,部分实验结果见图2-图4)

图1 研究工作原理流程图

图2 模型参数比存在性证明验证图

图3 过程噪声协方差和观测噪声协方差估计效果验证图

图4 状态估计效果验证图
文章链接:https://ieeexplore.ieee.org/abstract/document/10468628

指间自动化