夏季泰山山顶大气冰核浓度的观测研究

作者:发布者:徐蜜蜜发布时间:2022-12-22浏览次数:1525

夏季泰山山顶大气冰核浓度的观测研究

陈魁

大气冰核可通过异质核化(凝华、凝结、浸润、接触冻结)形成冰晶,进而对冷云微物理结构、云中降水过程和云辐射特征产生重要影响。Murray在《Science》上发文指出,冰核化学组分是其基本属性,决定成冰活化能力,掌握冰核理化特性将能极大提高冰核异质核化科学理解。为弄懂大气冰核--降水相互作用,许多科研工作者开展了大量研究,特别是进行了大气自由层高度冰核的观测分析。已出版很多相关论文,但冰核组成复杂多变,例如矿物沙尘、硫酸盐、有机气溶胶、烟灰和生物质燃烧颗粒等均可成为冰核,影响云、降水和气候。因此目前冰核观测数据量不能满足模式模拟所需,导致模式预报结果与实际情况存在较大误差。为提高模拟模拟精度,冰核观测成为解决预报不确定性的重要途径,也成为当前科学研究热点问题之一。

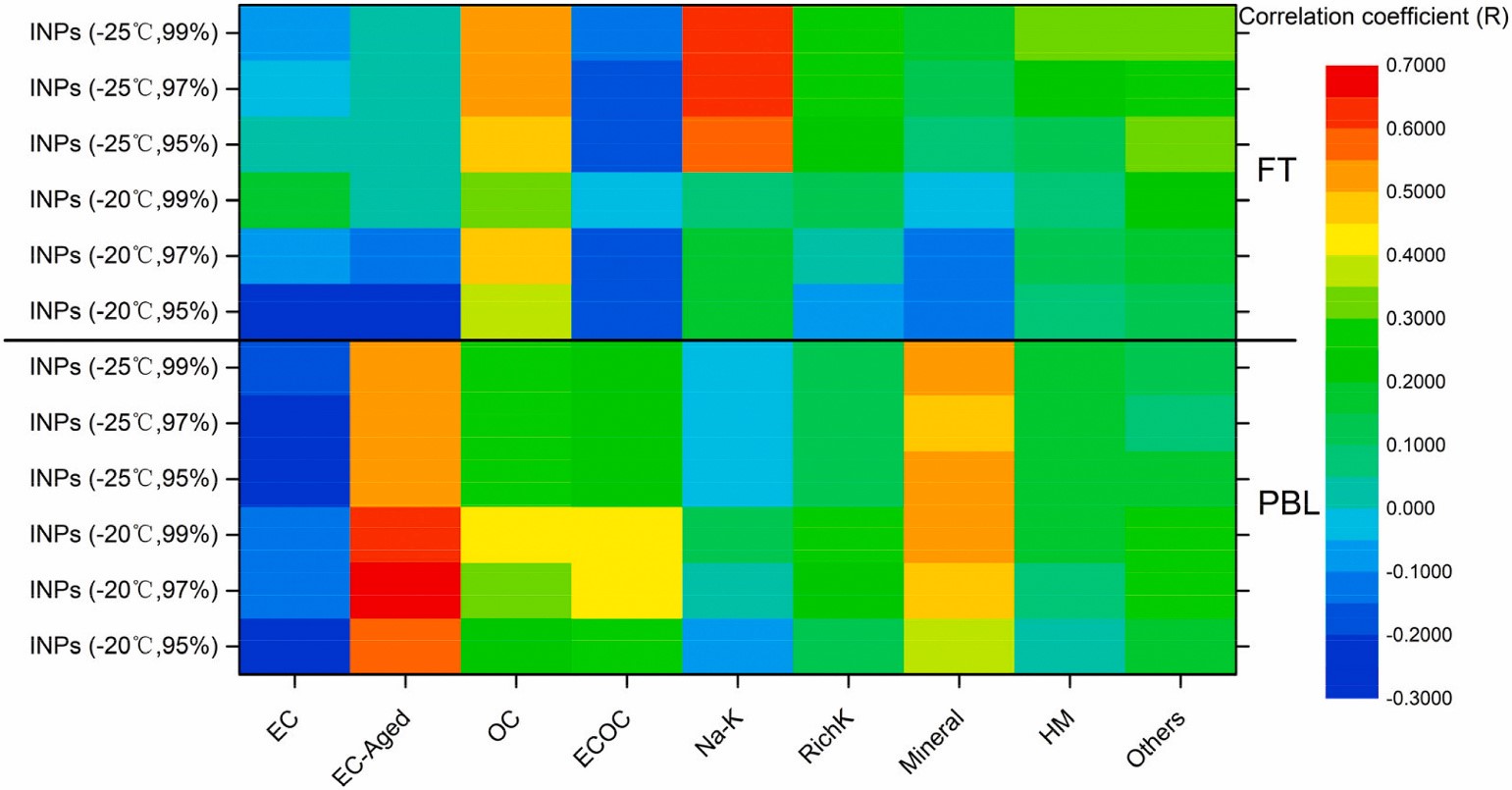
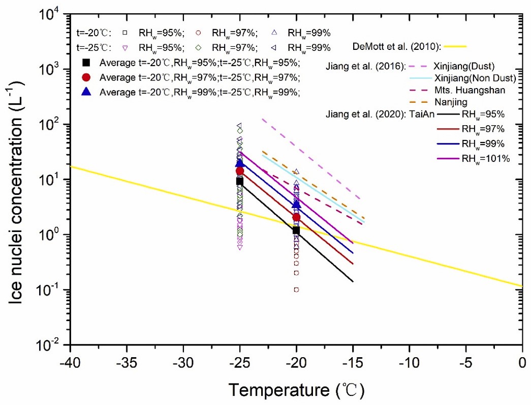
近期银燕教授团队成员陈魁副教授,选择泰山山顶研究大气冰核,从而获取长时间高山冰核特征数据,为准确理解大气冰核--降水相互作用的做出一点贡献。观测研究发现,大气冰核浓度受温度和过饱和度影响。当温度一定时,泰山山顶冰核浓度随过饱和度增加呈指数增长(见图1)。泰山山顶观测冰核平均值,高于经典测量的冰核数据(图1中的黄色实线,DeMott, et al. 2010);低于在中国其他地区(新疆、黄山和南京)的测量数据;与同期泰安观测数据相当。但泰安观测点位于市区,气溶胶数浓度高于山顶,而冰核浓度数值差不多,意味着气溶胶化学组分差异,产生了冰核浓度测量均值类似的结果。图2展示了泰山山顶昼夜冰核与气溶胶组分相关性。白天大多数INP(冰核颗粒物)与老化的元素碳(EC-Aged,即烟灰)和矿物颗粒具有显著的相关性。EC-Aged,主要源自工业、运输和城市排放的碳碎片(m/z 243648)和二次无机物碎片(18NH4+62 NO3-97 HSO4-),表明人类活动和输送影响了山顶冰核数浓度。夜间,泰山顶峰常位于行星边界层之上,INP受长距离输送的气溶胶影响较大,OC(有机碳气溶胶)和Na-K气溶胶与冰核具有较高相关性。

该观测研究提供了泰山山顶的冰核数浓度观测数据,弥补了我国华北高山地区凝结-凝华模态冰核数浓度的测量空白,亦为模式预报的提供重要科学基础数据。该工作近期发表在Atmospheric Research上。


论文信息:

Kui Chen, Yan Yin*, Shuxian Liu , Chao Liu , Honglei Wang , Chuan He , Hui Jiang , Jinghua Chen. 2021: Concentration and variability of deposition-mode ice nucleating particles from Mt. Tai of China in the early summer. Atmospheric Research. doi.org/10.1016/j.atmosres.2020.105426.


1 泰山山顶不同温度和过饱和度的冰核平均浓度特征。黄色实线为经典的冰核浓度参数化线,虚线为我国不同地区冰核数浓度参数化线,实线(黑、蓝、红和紫)为同期泰安观测的冰核参数化数据线。


2 泰山山顶冰核与不同气溶胶组分相关性。白天冰核数浓度与老化黑碳气溶胶(EC-Aged)有着较高相关性;夜间冰核数浓度与有机气溶胶(OC)、Na-K颗粒物有较高相关性。