土壤含水量和孔隙度对雷电电磁场及架空线路感应电压的影响
刘银萍
随着对雷电电磁场研究的不断深入,目前广为认可的是,土壤有限电导率会影响雷电电磁场的传播。这会造成与在完美导电地面上估算值的误差,从而影响地闪定位结果和架空线路感应过电压计算。
近日,我院刘银萍老师及其团队发现,在土壤有限电导率的影响因素中,仅仅研究含水量对雷电电磁场传播的影响是不够全面的,孔隙度的作用不容忽视。
利用二维时域有限差分模型,结合一种改进的阿尔奇土壤模型计算了不同含水量及孔隙度设置下的雷电电磁场。所得结果证实,土壤含水量和孔隙度对雷电电磁场的峰值,特别是水平电场有显著影响。而且,土壤含水量和孔隙度在共同作用时是相关的。在高含水量时孔隙度变化或低孔隙度时含水量变化,水平电场的峰值会受到明显的影响。
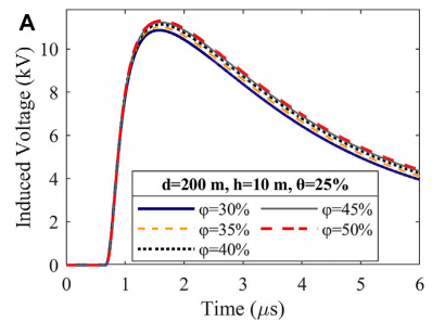
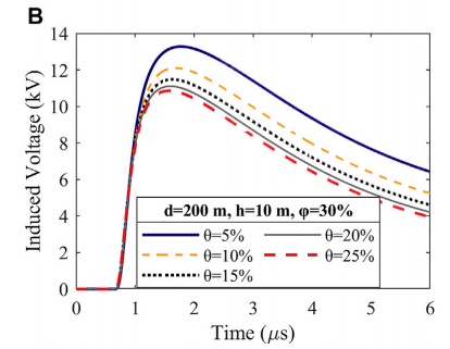
另外,还讨论了上述两种情况下架空线路上的感应电压的变化情况。在低孔隙度下含水率变化对感应电压影响更为剧烈。该研究可以为设计不同含水量和孔隙度的土壤条件上的架空输电线雷电防护工程提供参考依据。
该工作相关研究成果近期已发表在期刊《Frontiers in Environmental Science》。


图1:(A)不同孔隙度设置时,含水量变化对水平电场峰值的影响。(B)不同含水量设置时,孔隙度对水平电场峰值的影响


图2:(A)高含水量时,孔隙度对架空线感应电压的影响。(B)低孔隙度时,含水量对架空线感应电压的影响
论文信息:
Liu, Y., Jiang, Y., Gao, Q., Li, X., Yang, G., Zhang, Q., Tang, B., 2022. Influences of Soil Water Content and Porosity on Lightning Electromagnetic Fields and Lightning-Induced Voltages on Overhead Lines. Front. Environ. Sci. 10, 946551. https://doi.org/10.3389/fenvs.2022.946551

