我国即将发射的DQ-1环境卫星的主载荷是一台用于CO2测量的路径积分差分吸收激光雷达。卫星载荷的机载激光雷达校飞试验是保证卫星成功发射、开展星载数据反演方法研究与卫星数据应用效能的重要手段。
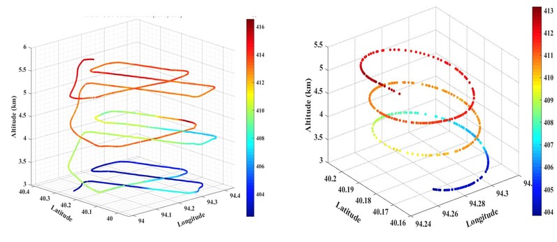
我校卜令兵教授团队与中国科学院上海光学精密机械研究所共同研制了卫星载荷的机载缩比模型系统。使用该系统于2021年7月1日至2021年7月28日在之间甘肃敦煌共同组织实施了本次机载校飞实验。本次校飞实验在敦煌国家卫星定标场上空执行,共飞行6个有效架次,飞行实验充分利用了定标场地表反照率高、地表类型单一、地面配合设备性能优良等有利条件,稳定的机载激光雷达信号和可信的大气要素实测数据可为星载激光雷达系统性能验证和星载反演算法研究提供基础数据。本次校飞实验得到卫星总体、载荷研制、数据应用等单位领导关注,中国科学院上海光机所陈卫标所长于2021年7月18日组织校飞实验现场协调会,会上肯定了本次校飞实验工作,并对后续实验数据分析工作进行了部署。
本次校飞实验得到了中科院上海高研院、国家卫星中心、敦煌气象局、中国海洋大学、武汉大学、浙江大学、西安理工大学和北方民族大学等单位的大力支持。

领导与团队人员合影

机载观测结果
